O Tribunal Superior Eleitoral (TSE), em sessão administrativa realizada nesta quinta-feira (5), autorizou, por unanimidade, o envio da Força Federal para a garantia da segurança no primeiro turno das Eleições Municipais de 2020, em municípios dos estados do Acre, Alagoas, Amazonas, Ceará, Maranhão, Mato Grosso do Sul, Mato Grosso, Pará, Piauí, Rio Grande do Norte e Tocantins.
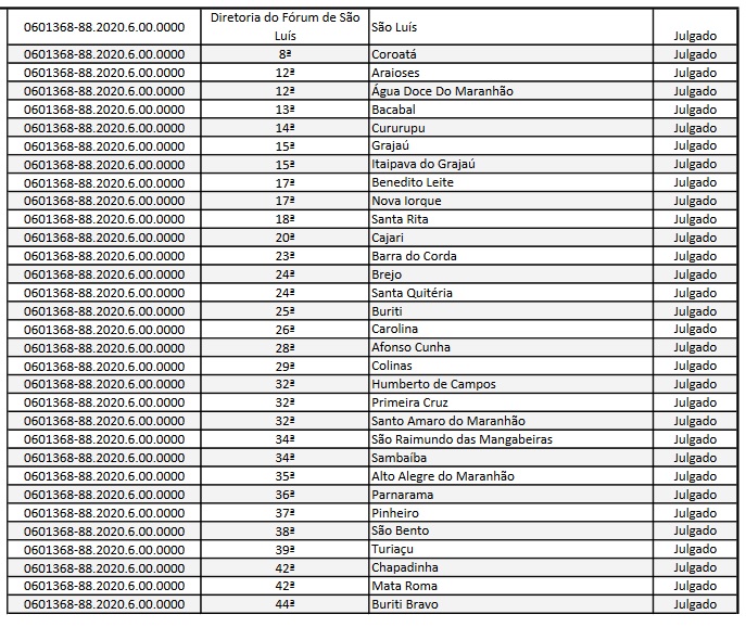
No Maranhão, 98 municípios receberão apoio na segurança das eleições, incluindo a capital São Luís.
No caso de Tocantins e de Mato Grosso, os pedidos aprovados envolvem a atuação da Força Federal nas seções eleitorais localizadas em aldeias indígenas, como Krahôs, no município de Itacajá (TO) e Marãiwatsédé, em São Félix do Araguaia (MT), por exemplo.
Os requerimentos para a atuação da Força Federal foram previamente aprovados pelos Tribunais Regionais Eleitorais e pelos governos estaduais para garantir que o processo eleitoral transcorra de forma ordeira e tranquila. Em seu voto, o presidente da Corte Eleitoral, ministro Luís Roberto Barroso, ressaltou a presença de todos os elementos geradores de insegurança que justificam os pedidos.
Veja abaixo os municípios que receberão apoio na segurança das eleições no Maranhão:



REGRAS PARA AUTORIZAÇÃO
A Força Federal é composta pelos militares das Forças Armadas, que em todas as eleições contribuem para a segurança do processo eleitoral com o objetivo de garantir o livre exercício do voto. A atuação está prevista no artigo 23, inciso XIV, do Código Eleitoral (Lei nº 4.737/1965). Conforme o texto, compete privativamente ao TSE, entre outras atribuições, requisitar a Força Federal necessária ao cumprimento da lei, de suas próprias decisões ou das decisões dos Tribunais Regionais que solicitarem, bem como para garantir a votação e a apuração de uma eleição.
Cada Tribunal Regional Eleitoral (TRE) é responsável por indicar as localidades onde é necessária a atuação da Força Federal para garantir a segurança ou eventual apoio logístico.
A requisição de Força Federal para a garantia da votação e apuração deve ser encaminhada ao TSE acompanhada de justificativa, apontando fatos e circunstâncias que revelem o receio de perturbação das atividades eleitorais. Além disso, a argumentação deve ser feita de modo separado para cada zona eleitoral, com indicação do endereço e do nome do juiz eleitoral a quem o efetivo da Força Federal deverá se apresentar.
Cabe ao Plenário do TSE analisar os pedidos de Força Federal para a garantia da votação e apuração solicitados; se aprovados, as solicitações são enviadas ao Ministério da Defesa, órgão responsável pelo planejamento e execução das ações implementadas pelas Forças Armadas.
Veja a relação dos municípios que serão atendidos com o envio de Força Federal.
Fonte: TSE.